自動化立庫的規劃步驟及面積資源測算方法
一、自動化立體倉庫規劃思路
01 自動化立體倉庫概述
自動化立體倉庫系統主要是由立體貨架、出入庫托盤輸送設備、存儲設備、巷道堆垛機、尺寸檢測條碼閱讀系統、控制系統、通訊系統和上位機監控系統等部分組成。
自動化立體倉庫系統與土建公共設施有關,如廠房、照明系統、消防系統、通風采暖系統、動力系統等等有關。
02 自動化立體倉庫規劃步驟
1、 確定自動化立體庫的需求
1)要確定自動化立體庫的需求,包括物料的類型、數量、尺寸、重量、包裝形式等信息,以及庫房的面積、高度、溫度、濕度、控制系統等要求。
2)要根據實際情況,計算出自動化立體庫的最佳容量,以便在設計時考慮足夠的空間。
3)要考慮自動化立體庫的安全性,確保貨物的安全存儲和安全運輸。
2、自動化立體庫的設計要點
1)根據自動化立體庫的需求,設計貨架結構,確定貨架定制的高度、寬度、深度、支撐結構、支撐材料、組裝方式等。
2)設計自動化立體庫的控制系統,包括控制設備、傳感器、控制程序、軟件等。
3)要設計自動化立體庫的運輸設備,包括貨架車、貨架升降機、自動貨架移動機械等。
4)設計自動化立體庫的操作流程,包括入庫、出庫、查詢、庫存管理等。
3、自動化立庫的設計流程
1)收集和研究原始資料,進行需求分析。
在確定建自動化立體倉庫之后,需要研究原始資料,得出倉庫規劃設計的主要依據。
需要對所有入庫貨物的品種進行ABC分析,分析貨品的形式、尺寸和重量,確定土建設計的有關參數,進行倉庫的貨架、作業機械配置。
2)確定倉庫形式、作業方式和貨物單元。
在調查分析入庫貨物的品種的基礎上,首先應該確定倉庫的形式。一般采用單元貨位式倉庫。
為了提高出入庫的搬運效率,應盡量采用復合作業方式,避免單入單出模式,也可以采用一次搬運兩個貨物單元的作業方式提高作業效率。
3)確定貨物單元形式和貨架設計。
為了確定貨物單元形式、尺寸和重量,應該對貨物進行品種的分析,選擇最佳的設計方案。
確定好貨物單元形式后,可以據此進行貨架的設計。貨架的設計過程實際上是一個確定合理的貨架參數的過程。
4)確定庫存量和倉庫總體尺寸。
立體倉庫的實際規模主要取決于庫存量。
(1)如果庫存量已知,在恰當考慮未來發展需要的基礎上,可以直接使用這個庫存量參數,但是要給出一定的余量。
(2)如果庫存量未知,需要根據近1-3年的出入庫的數量和規律確定庫存量。
確定立體倉庫的總體尺寸是容易實現和經濟性要求,倉庫不宜設計的過高,以10至20m的高度為宜。
5)選擇機械設備類型數量。
選擇機械設備類型和數量主要是為立體倉庫選擇堆垛機。
堆垛機的數量主要取決于倉庫的作業能力,即最大出、入庫頻率。一般情況下,貨架的高和長的比值等于堆垛機的垂直運行速度和水平運行速度的比值,是堆垛機的效率中最高。
另外,機械設備的選用還包括輸送設備、貨物自動分揀設備及周邊設備的選用。
6)倉庫出入庫流量設計。
自動倉庫的出入庫流量設計主要和出入庫搬運周期有關。
自動化立體倉庫的搬運周期一般取決于巷道堆垛機的作業循環時間。堆垛機的出入庫搬運分為單一作業和復合作業兩種,堆垛機的搬運周期越短,立體倉庫的出入庫作業效率也越高。
7)總體布局設計。
完成上述六個步驟后,便可以對自動化倉庫的總體布局進行設計。這個時候需要考慮立庫存儲區與總體布局設計是應考慮立體貨架與作業區的銜接方式和貨物單元出入高層貨架的方式。
8)確定管理和控制方式。
自動化立庫的管理系統主要包括儲位管理、儲位編碼與貨物編號、儲位指派方式的確定。
涉及的控制技術主要包括電氣控制技術、計算機和堆垛機的通信等。
9)仿真分析。
為了驗證所設計的自動化立體倉庫是否達到設計要求,可以使用仿真的方法進行驗證方案的合理性。
4、自動化立體庫的實施
1)購買設備,包括控制設備、傳感器、貨架車、貨架升降機、自動貨架移動機械等。
2)安裝設備,根據設計圖紙安裝貨架,安裝控制設備、傳感器、貨架車、貨架升降機、自動貨架移動機械等。
3)要檢查設備,確保設備安裝正確,并進行系統調試,確保設備的正常運行。
4)要進行演示及培訓,確保操作人員能夠正確操作自動化立體庫,并能夠及時發現和處理故障。
二、自動化立體倉庫規劃測算
01 倉庫面積測算
1、荷重計算法:A=mQ/kq
-
A指立體倉庫所需面積(m2)
-
k指立體倉庫面積利用率,即存貨面積與總面積之比
-
mQ指立體倉庫貨物的庫存量(t)
-
q指立體倉庫單位面積上的庫存量(t/m2)
2、直接計算法:A=A1+A2+A3+A4
-
A1指貨物有效存放面積(m2)
-
A2指入庫驗貨場地面積(m2)
-
A3指出庫發貨場地面積(m2)
-
A4指通道面積(m2)
3、庫存指標:最大庫存量:mQ=(EK/30)t(每月30天計算)
-
E指立體倉庫的月最大貨物存取量(t)
-
K指設計最大入庫百分數
-
t指貨物在倉庫中平均庫存期(天)
庫存周轉率:一種衡量物料在倉庫里或是整條價值流中,流動快慢的標準。
02 貨架設計
1、貨架高度設計
自動化立體倉庫主要的參數是貨架高度,最佳高度直接影響占地面積、長度、寬度、起重運輸機械設備裝載效率以及技術經濟指標的選擇。
影響貨架高度的因素:儲存量、周轉率以及訂貨發送時的配套模式。
2、最佳參數確定
-
貨架高度H:貨架最佳高度取決于容量,通常在15-20m之間,當容量為1000-1500t時,高度H為12.6m,當容量為6000t或以上時,高度H為16.2 m。
-
貨架長度L:若倉庫作業由堆垛機上、下貨,則貨架的最佳通道長度L在80-120m之間。為保證堆垛機的托架垂直和水平移動操作并行不悖,則H/L應保持均衡,一般推薦采用下列比值:
H/L={1/4-1/6}
3、貨架尺寸設計
-
兩種形式貨架:牛腿式貨架和橫梁式貨架
-
由以下4個參數中的3個來確定貨架尺寸:
(1)倉庫長度(或貨架列數);
(2)倉庫寬度(或巷道數);
(3)倉庫高度(或貨架層數);
(4)倉庫容量(或總貨位數)。
4、出入庫能力計算
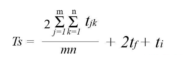
(1)循環作業時間
平均單一作業循環時間:堆垛機從某一出入庫站開始向所有貨格進行入庫作業循環(或出庫作業循環)的平均時間。當貨架為m列,n層時,作業時間為:
-
TS指平均單一循環作業時間(s);
-
tjk指從入庫開始到j列k層單程移動時間(s);
-
tf指叉貨時間,在出入庫站或貨格處貨物移動時間(s)
-
ti指浪費時間,控制延遲時間等(s);
(2)同端出入庫
平均復合作業循環時間:入庫作業后進行出庫作業時的循環時間。當貨架為m列、n層時,作業時間為:
-
TD指平均復合循環作業時間(s);
-
tjk指從入庫開始到j列k層單程移動時間(s);
-
tf指叉貨時間,在出入庫站或貨格處,貨物移動時(s);
-
ti停機時間,控制延遲時間等(s);
-
tt平均貨格移動時間,隨機確定入庫貨格和出庫貨格,作適當次數貨格移動求得所需時間的平均值(s);
-
ts出入庫站間移動時間(s)
(3)出入庫周期
堆垛機基本出入庫能力用每小時內入庫或出庫的存儲單元數表示。
平均單一作業循環時間基準出入庫能力=Ns=3600/Ts
平均復合作業循環時間基準出入庫能力=Nd=3600/Td
其中:Ns、Nd為每小時入庫或出庫的存儲單元數量
出入庫形式包括,同端出入庫、兩端出入庫、中間出入庫。
三、自動化立體倉庫好處
1、能夠提高企業的生產效率
通過自動化倉庫,企業可以更好地控制庫存,減少庫存積壓,提高庫存周轉率,從而提高產品出貨速度,實現生產效率的提高。
2、能夠提高企業的生產率
自動化倉庫可以消除人為因素,減少人工操作,減少生產過程中的操作錯誤,從而提高產品的質量,提升企業的生產率。
3、能夠提高企業的安全性
自動化倉庫可以有效地控制庫存,實現精確的庫存管理,減少庫存積壓,從而有效地降低企業的庫存風險,提高企業的安全性。
4、能夠提高企業的經濟效益
自動化倉庫可以減少企業的人力成本,提高企業的生產效率,實現企業的高效率運營,提高企業的經濟效益。
總之,自動化倉庫能為企業帶來許多好處。因此,企業可以結合自身條件采用自動化倉庫,以實現企業的高效率運營。
文章摘自羅戈網
- 上一篇:深入倉庫管理,你需要知道這些! 2024/3/28
- 下一篇:物流業務基礎平臺組建指南 2013/8/15
